Перейти до головного меню Перейти до головного вмісту Перейти до головного колонтитула
Вінницька обласна військова адміністраціяВінницька обласна військова адміністраціяВінницька обласна військова адміністрація

icon Налаштування доступності

icon icon icon icon

Дія Дія

Пошук Пошук
  • ОДА
    • Основні завдання та нормативно-правові засади діяльності
    • Нормативно-правові документи
    • Органи влади
    • Керівництво
    • Функції та повноваження ОДА
    • Вакансії, конкурси на заміщення вакантних посад
    • Стажування молоді
    • Внутрішній аудит
    • Організаційна структура облдержадміністрації
    • Представник Урядового уповноваженого
  • Прес-центр
    • Останні новини
    • Топ новини
    • Територіальна оборона
    • Здорова Україна
    • EUкраїна
    • Оголошення
    • Фотогалерея
    • Відеогалерея
    • Анонси подій
  • Послуги
    • Адміністративні послуги, які надаються облдержадміністрацією та її структурними підрозділами
    • Електронні послуги
    • Центри надання адміністративних послуг у Вінницькій області
    • Картування послуг
    • Дозвільні документи, які надаються облдержадміністрацією та її структурними підрозділами
  • Діяльність
    • Обласні програми
    • Програми розвитку
    • Міжнародне співробітництво
    • Регіональний офіс міжнародного співробітництва
    • Управління об'єктами державної власності
    • Європейська інтеграція
    • Інвесторам
    • Державні закупівлі
    • Регуляторна діяльність
    • Співробітництво з НАТО
    • Прозорість і підзвітність
  • Важливо
    • Бізнесу
      • Діалог влади та бізнесу
      • Підтримка бізнесу
      • Регіональна рада підприємців
    • Запобігання проявам корупції
    • Розвиток цифрових навичок та цифрових прав громадян
    • Кібербезпека під час війни
    • Бронювання військовозобов’язаних
    • Протоколи засідань обласної комісії з питань ТЕБ та НС
    • Протоколи засідань обласної комісії з розподілу публічних інвестицій
  • Громадянам
    • Громадянське суспільство
      • Механізми та процедури
      • Координаційна рада з питань утвердження української національної та громадянської ідентичності
      • Консультації з громадськістю
        • Нормативно-правова база
        • Електронні консультації
        • Відповідальні особи за організацію та проведення консультацій з громадськістю
        • План проведення консультацій
        • Анонси консультацій
        • Публічне громадське обговорення
        • Звіти за результатами обговорення
        • Публічні звіти органів виконавчої влади
      • Громадська рада
      • Громадська експертиза
      • Діяльність інститутів ГС Вінниччини
      • Координаційна рада
      • Нормативно-правові акти
      • Інститути ГС Вінниччини
      • Оголошення для інститутів ГС
      • Фінансова підтримка інститутів ГС
      • Обласна комісія з реабілітації
      • Інше
    • Ветеранам
    • Рада волонтерів при Вінницькій ОВА
    • Інформація для ВПО
      • Нормативно-правові документи з питань ВПО
      • Допомога внутрішньо переміщеним особам на проживання
      • Рада ВПО
      • Корисна інформація для ВПО
      • Інформація щодо вільних місць в МТП Вінницької області
      • Новини ВПО
    • Публічна інформація
      • Доступ до публічної інформації
      • Публічні документи та звіти
      • Електронний запит на публічну інформацію
    • Набори відкритих даних
    • Звернення громадян
      • Електронне звернення
    • Державний реєстр виборців
  • Більше
    • Благодійна (гуманітарна) допомога
      • Новини
      • Робоча група з питань гуманітарної допомоги
    • Про область
      • Вінниччина - перлина Поділля
      • Вінниччина. Є що сказати
      • Вінниччина туристична
      • Політична палітра Вінниччини
      • ЗМІ Вінниччини
      • Вінничани в історії
      • Українські традиції на Поділлі
    • Гендерна політика
    • Створення безбар'єрного простору
    • Деінституціалізація
    • Бюджетний запит та бюджетна програма
    • Очищення влади
    • Книговидання
    • єВідновлення
  • Контакти
    • Апарат ОВА
    • Список телефонів структурних підрозділів обласної військової адміністрації
    • Структурні підрозділи ОВА
    • Районні державні адміністрації Вінницької області
    • Міські ради міст обласного значення
    • Територіальні органи
    • Регіональні територіальні органи Нацсоцслужби
    • Контакти для ветеранів війни та членів родин загиблих захисників та захисниць
  1. Головна
  2. Департамент охорони здоров’...
  3. Про наявність засобів індив...

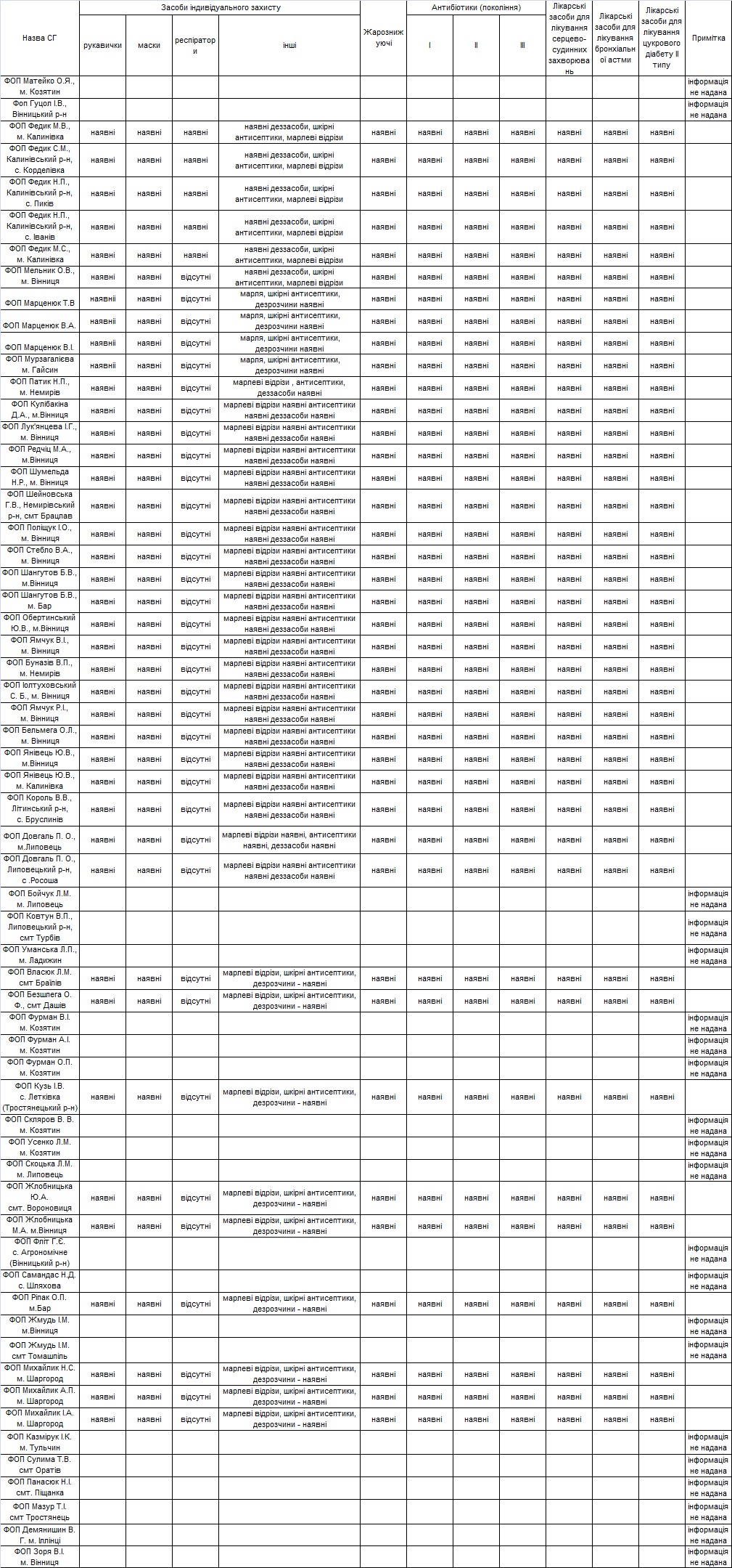
Про наявність засобів індивідуального захисту, анитибіотиків та медикаментів в аптечних закладах області

10.08.2020, 17:04

Поділитись:
  • Facebook
  • Twitter
  • Linkedin
  • Telegram

Директор Департаменту

Директор Департаменту Задорожна Ольга Іванівна

Задорожна Ольга Іванівна

Іконка геолокація

Адреса: вул. Хмельницьке шосе, 7, м. Вінниця, 21036

Іконка телефон

Приймальня: (0432) 66-12-05

Іконка лист

E-mail: [email protected]

  • Структура департаменту
  • Положення про департамент
  • Графік особистого прийому громадян
  • Відомості про лікарські засоби/препарати закуплені за кошти Державного бюджету
  • Телефони гарячої лінії
  • Звернення громадян
  • Паспорти бюджетних програм
  • Звіти про виконання паспортів бюджетних програм
  • Бюджетні запити
  • Обласні програми
  • Доступ до публічної інформації
  • Акредитація закладів охорони здоров'я
  • Очищення влади
  • Публічні закупівлі
  • Річні плани державних закупівель
  • Оголошення Департаменту
  • Єдиний портал повідомлень викривачів
  • Скринінг здоровʼя 40+
Мапа сайту

Облдержадміністрація

  • Основні завдання та нормативно-правові засади діяльності
  • Нормативно-правові документи
  • Органи влади
  • Керівництво
  • Функції та повноваження ОДА
  • Вакансії, конкурси на заміщення вакантних посад
  • Стажування молоді
  • Внутрішній аудит
  • Організаційна структура облдержадміністрації
  • Представник Урядового уповноваженого

Громадянам

  • Громадянське суспільство
  • Ветеранам
  • Рада волонтерів при Вінницькій ОВА
  • Інформація для ВПО
  • Публічна інформація
  • Набори відкритих даних
  • Звернення громадян
  • Державний реєстр виборців

Контакти

  • Апарат ОВА
  • Список телефонів структурних підрозділів обласної військової адміністрації
  • Структурні підрозділи ОВА
  • Районні державні адміністрації Вінницької області
  • Міські ради міст обласного значення
  • Територіальні органи
  • Регіональні територіальні органи Нацсоцслужби
  • Контакти для ветеранів війни та членів родин загиблих захисників та захисниць

Прес-центр

  • Останні новини
  • Топ новини
  • Територіальна оборона
  • Здорова Україна
  • EUкраїна
  • Оголошення
  • Фотогалерея
  • Відеогалерея
  • Анонси подій

Послуги

  • Адміністративні послуги, які надаються облдержадміністрацією та її структурними підрозділами
  • Електронні послуги
  • Центри надання адміністративних послуг у Вінницькій області
  • Картування послуг
  • Дозвільні документи, які надаються облдержадміністрацією та її структурними підрозділами

Діяльність

  • Обласні програми
  • Програми розвитку
  • Міжнародне співробітництво
  • Регіональний офіс міжнародного співробітництва
  • Управління об'єктами державної власності
  • Європейська інтеграція
  • Інвесторам
  • Державні закупівлі
  • Регуляторна діяльність
  • Співробітництво з НАТО
  • Прозорість і підзвітність

Важливо

  • Бізнесу
  • Запобігання проявам корупції
  • Розвиток цифрових навичок та цифрових прав громадян
  • Кібербезпека під час війни
  • Бронювання військовозобов’язаних
  • Протоколи засідань обласної комісії з питань ТЕБ та НС
  • Протоколи засідань обласної комісії з розподілу публічних інвестицій

Громадянське суспільство

  • Громадянське суспільство
  • Ветеранам
  • Рада волонтерів при Вінницькій ОВА
  • Інформація для ВПО
  • Публічна інформація
  • Набори відкритих даних
  • Звернення громадян
  • Державний реєстр виборців

Більше

  • Благодійна (гуманітарна) допомога
  • Про область
  • Гендерна політика
  • Створення безбар'єрного простору
  • Деінституціалізація
  • Бюджетний запит та бюджетна програма
  • Очищення влади
  • Книговидання
  • єВідновлення
Вінницька обласна військова адміністрація

Офіційний веб-сайт

eye slashНалаштування доступності
Наші контакти
  • icon 0 800 216 433
  • icon [email protected]
  • icon 21050 м. Вінниця вул. Соборна 70
  • icon
    Пн-Пт: 9:00-18:00
    Обід: 13:00-14:00
  • Сторінка в Instagram Канал в YouTube Канал в Telegram Сторінка в Facebook

E-mail для юридичних осіб:
icon [email protected]

Прийом звернень:
icon 0 800 216 433

Запис на прийом до посадових осіб:
icon  (0432) 65-17-53, 65-17-54

  • Офіційне інтернет-представництво Президента України
  • Урядовий портал
  • Верховна Рада України
  • Конституційний Суд України
  • Національне агентство України з питань державної служби
  • Вінницька обласна Рада
  • Вінницька міська рада
  • Головне управління Пенсійного фонду України у Вінницькій області
  • Головне управління ДПС у Вінницькій області
  • Головне управління ДСНС України у Вінницькій області
  • Міністерство цифрової трансформації України
  • Урядовий Кур'єр
  • Регіональний центр сертифікації ключів
  • Національне агентство з питань запобігання корупції
  • Федерація професійних спілок України

Технічний супровід: Управління цифрової трансформації апарату облвійськадміністрації [email protected]
Відповідальні за зміст сторінок веб-порталу облвійськадміністрації: структурні підрозділи облвійськадміністрації, районні військові адміністрації, територіальні підрозділи міністерств у Вінницькій області, веб-сторінки яких розміщені на цьому порталі. Використання будь-яких матеріалів, що опубліковані на цьому сайті, дозволяється при умові зазначення посилання (для інтернет-видань - гіперпосилання) на офіційний сайт Вінницької облвійськадміністрації www.vin.gov.ua.

© 2026 Весь контент доступний за ліцензією Creative Commons Attribution 4.0 International license, якщо не зазначено інше

  • ОДА
    • Основні завдання та нормативно-правові засади діяльності
    • Нормативно-правові документи
    • Органи влади
    • Керівництво
    • Функції та повноваження ОДА
    • Вакансії, конкурси на заміщення вакантних посад
    • Стажування молоді
    • Внутрішній аудит
    • Організаційна структура облдержадміністрації
    • Представник Урядового уповноваженого
  • Прес-центр
    • Останні новини
    • Топ новини
    • Територіальна оборона
    • Здорова Україна
    • EUкраїна
    • Оголошення
    • Фотогалерея
    • Відеогалерея
    • Анонси подій
  • Послуги
    • Адміністративні послуги, які надаються облдержадміністрацією та її структурними підрозділами
    • Електронні послуги
    • Центри надання адміністративних послуг у Вінницькій області
    • Картування послуг
    • Дозвільні документи, які надаються облдержадміністрацією та її структурними підрозділами
  • Діяльність
    • Обласні програми
    • Програми розвитку
    • Міжнародне співробітництво
    • Регіональний офіс міжнародного співробітництва
    • Управління об'єктами державної власності
    • Європейська інтеграція
    • Інвесторам
    • Державні закупівлі
    • Регуляторна діяльність
    • Співробітництво з НАТО
    • Прозорість і підзвітність
  • Важливо
    • Бізнесу
      • Діалог влади та бізнесу
      • Підтримка бізнесу
      • Регіональна рада підприємців
    • Запобігання проявам корупції
    • Розвиток цифрових навичок та цифрових прав громадян
    • Кібербезпека під час війни
    • Бронювання військовозобов’язаних
    • Протоколи засідань обласної комісії з питань ТЕБ та НС
    • Протоколи засідань обласної комісії з розподілу публічних інвестицій
  • Громадянам
    • Громадянське суспільство
      • Механізми та процедури
      • Координаційна рада з питань утвердження української національної та громадянської ідентичності
      • Консультації з громадськістю
        • Нормативно-правова база
        • Електронні консультації
        • Відповідальні особи за організацію та проведення консультацій з громадськістю
        • План проведення консультацій
        • Анонси консультацій
        • Публічне громадське обговорення
        • Звіти за результатами обговорення
        • Публічні звіти органів виконавчої влади
      • Громадська рада
      • Громадська експертиза
      • Діяльність інститутів ГС Вінниччини
      • Координаційна рада
      • Нормативно-правові акти
      • Інститути ГС Вінниччини
      • Оголошення для інститутів ГС
      • Фінансова підтримка інститутів ГС
      • Обласна комісія з реабілітації
      • Інше
    • Ветеранам
    • Рада волонтерів при Вінницькій ОВА
    • Інформація для ВПО
      • Нормативно-правові документи з питань ВПО
      • Допомога внутрішньо переміщеним особам на проживання
      • Рада ВПО
      • Корисна інформація для ВПО
      • Інформація щодо вільних місць в МТП Вінницької області
      • Новини ВПО
    • Публічна інформація
      • Доступ до публічної інформації
      • Публічні документи та звіти
      • Електронний запит на публічну інформацію
    • Набори відкритих даних
    • Звернення громадян
      • Електронне звернення
    • Державний реєстр виборців
  • Більше
    • Благодійна (гуманітарна) допомога
      • Новини
      • Робоча група з питань гуманітарної допомоги
    • Про область
      • Вінниччина - перлина Поділля
      • Вінниччина. Є що сказати
      • Вінниччина туристична
      • Політична палітра Вінниччини
      • ЗМІ Вінниччини
      • Вінничани в історії
      • Українські традиції на Поділлі
    • Гендерна політика
    • Створення безбар'єрного простору
    • Деінституціалізація
    • Бюджетний запит та бюджетна програма
    • Очищення влади
    • Книговидання
    • єВідновлення
  • Контакти
    • Апарат ОВА
    • Список телефонів структурних підрозділів обласної військової адміністрації
    • Структурні підрозділи ОВА
    • Районні державні адміністрації Вінницької області
    • Міські ради міст обласного значення
    • Територіальні органи
    • Регіональні територіальні органи Нацсоцслужби
    • Контакти для ветеранів війни та членів родин загиблих захисників та захисниць
  • Звернення громадян
  • Мапа сайту
  • Контактна інформація
  • Президент України</a ></li >
  • Верховна Рада України</a ></li >
  • Конституційний Суд України</a ></li >
  • Рада національної безпеки і оборони України</a ></li >